Join Channel Telegram Rasmi
Maklumat Jawatan Kosong Kerajaan & Swasta Terus Ke Mobile Anda
×
Info Kerjaya Malaysia
KERJAYA -
Johor
Kedah
Kelantan
KL
Melaka
N. Sembilan
Pahang
Perak
Perlis
Penang
SBH
SWK
Selangor
Terengganu
Home
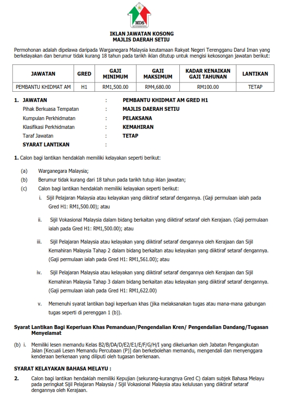
Iklan Jawatan Majlis Daerah Setiu
Iklan Jawatan Majlis Daerah Setiu
BORANG PERMOHONAN